교재 : Vibrations and Waves (George C. King 저)
문제 1.8
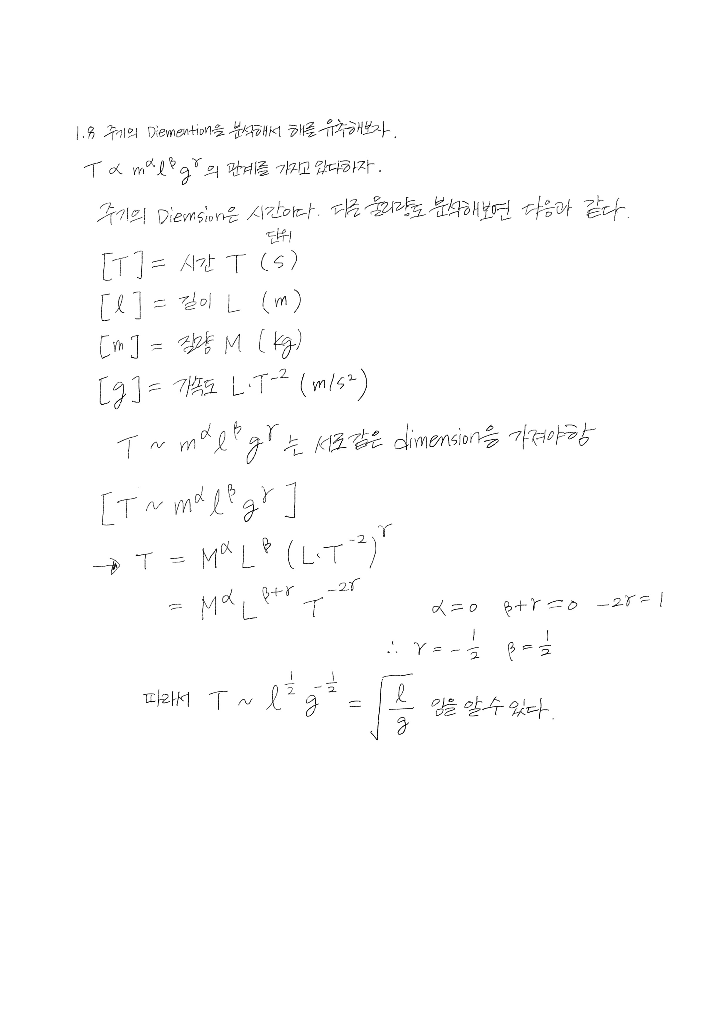
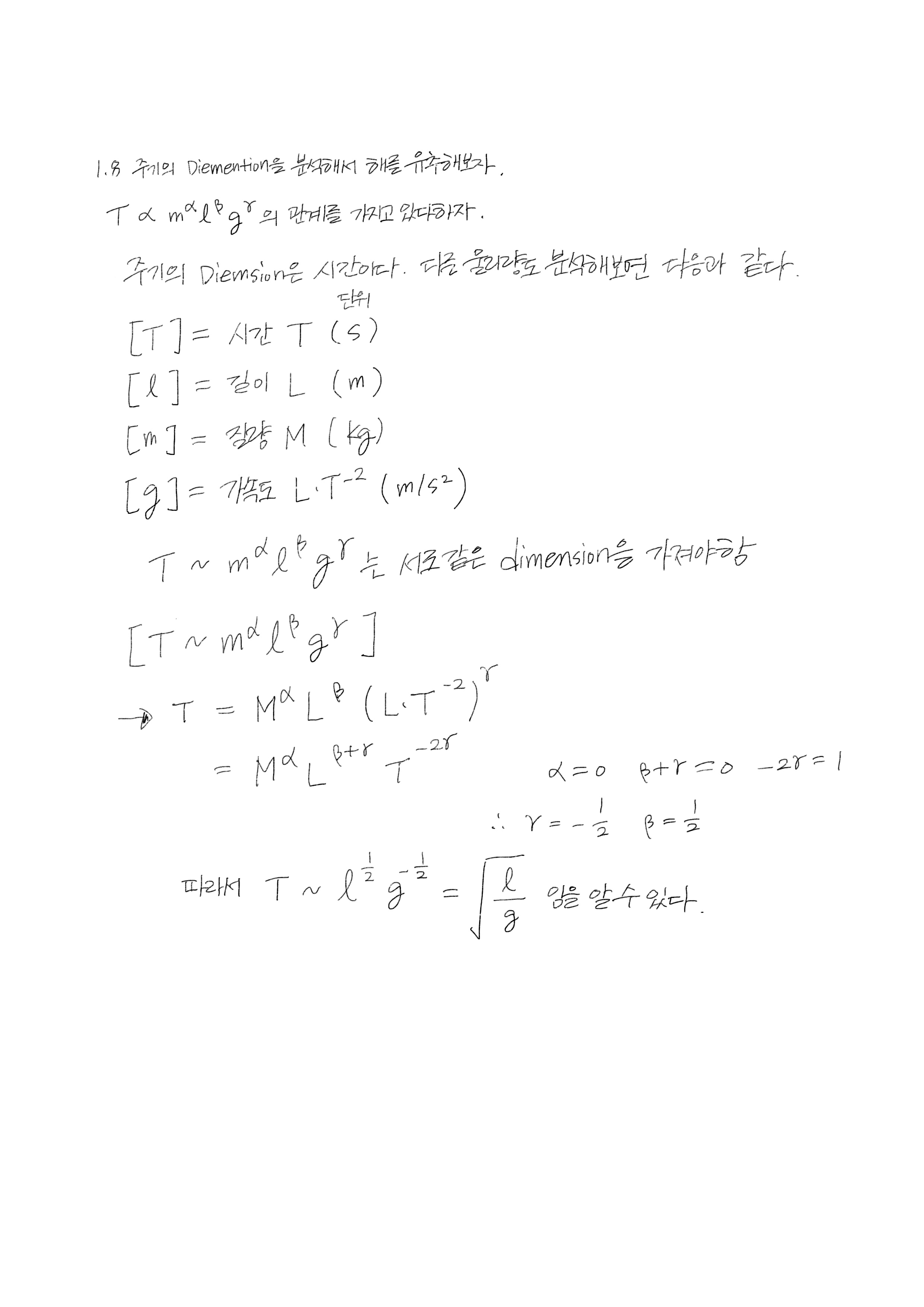
You might assume that the period of a simple harmonic pendulum depends on the mass m, the length l of the string and g the accleration due to the gravity, i.e. T ~ m^α * l^β * g^γ where α, β, γ are constants. Consider the dimensions of quantities involved to deduce the values of α, β and γ and hence show T ~ root(l/g)
문제를 읽어보면 진자운동의 주기를 dimension을 이용해 유추해보라고 한다.
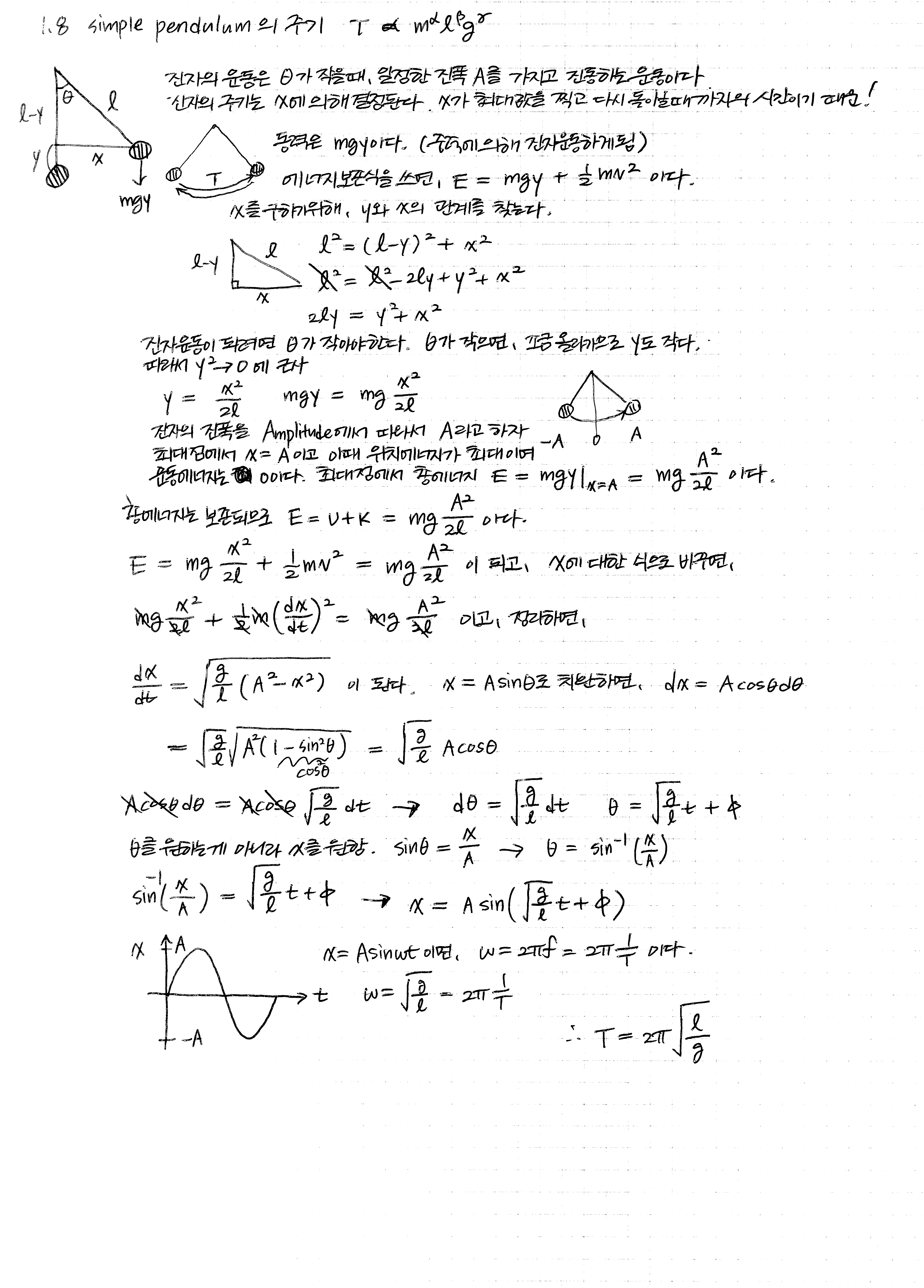
하지만 나는 그런 문제인줄 몰랐고 진자운동의 운동방정식을 이용해 진자의 주기를 풀려고 했다.
진자운동의 운동방정식을 풀면 다음과 같다.
문제를 푸는 아이디어
1. 진자운동은 변위 x가 진폭의 최대치만큼 갔다가 다시 내려오는 운동이다
2. 진자운동의 운동에너지와 위치에너지의 합은 보존된다
3. 위치에너지를 만들어내는 원인은 y 위치이다. U = mgy

교수님께서 디멘션 분석에 대하여 해주신 강의를 통해 이런 문제를 어떻게 해결하는지 아이디어를 얻을수 있었다.
Dimensional Analysis 문제는 관련된 물리량의 디멘션만 가지고 답이 어떻게 나오게 될지를 알 수 있게 해준다.
위의 문제에서도 주기에 대한 물리량을 분석하여 관련된 물리량들의 관계속에서 잡을 유추할 수 있다.

| 스프링과 전자 : assume the electron as simple harmonic oscillation (5) | 2020.09.17 |
|---|---|
| Q Factor : 진동계에서 에너지가 얼마나 빠져나가는가? (1) | 2020.09.16 |
| 무엇이 표면에너지를 만들어내는가? - 3 (1) | 2020.08.29 |
| 무엇이 표면에너지를 만들어내는가? - 2 (0) | 2020.08.29 |
| 무엇이 표면에너지를 만들어내는가? - 1 (0) | 2020.08.29 |