커패시턴스(Capacitance)란 무엇인가?
나는 학부시절에 커패시턴스를 그냥 소자 커패시터(Capacitor)로 이해했었다.

영어로 Capacitance는 무언가를 수용할 있는 용량을 의미한다. 전기소자니까 전기를 수용할 수 있는 전기용량을 의미할 것이다. 커패시터 소자는 전기를 저장하는 역할을 하기에 여기에서 어느 정도 유래했을지도 모른다.
물론 전기소자를 통해 전기적인 특성을 이해하는 것은 실제적으로 유용한 방법이다.
C = Q/V라고 표현하는 것보다 실제로 존재하는 소자를 통해 어떻게 전하를 저장하고 어떤 전기적 특성을 지니고 있는지 실질적으로 이해하는 것도 중요하다.
다만 소자는 단지 해당하는 전기적 특성을 주로 가지고 있을 뿐 전기적 특성 그 자체는 아니라는 것이다. 커패시터 소자에는 저항도 존재하고 인덕턴스도 존재한다. 커패시턴스라는 전기적 성질이 더 크게 작용하고 있을 뿐이다. 커패시턴스와 같은 전자기적 현상은 자연에 내재된 특성이며, 우주가 작동하는 원리이다.
커패시턴스와 같은 전자기적 현상은 자연에 내재된 특성이며, 우주가 작동하는 원리이다
그리고 전기적 성질을 소자에 국한하여 생각하면 커패시터 소자를 사용해야만 그 전기적 성질을 이용할 수 있다고 생각하게 된다. (내가 그랬다) 하지만 그렇게 되면 자연을 오해하게 된다. 소자라는 물리적 특성에 갇혀 생각이 확장되지 않는다. 이런 전자기적 현상들은 전기를 띈 입자의 움직임의 관점에서 이들은 왜 그렇게 움직이게 되는 것인지를 생각해야 이해에 좀 더 다가갈 수 있다. (전기를 띈 입지란 우주를 이루는 기본 물질 중 하나인 전자, 전자를 잃어버린 이온 등을 의미한다)
전자가 금속과 같은 도체를 타고 이동한다. 전자가 이동하게 되는 이유는 F = qE라고 하는 전기력을 받아서 인데, 전기에너지를 상쇄해서 전기적 중성상태를 이루기 위해 가는것이지 전자가 어떤 목적을 가지고 이동하는 것은 아니다. 도체에서는 이온들이 방해하긴 했어도 (저항) 진행할 수는 있었는데 유전체를 지나가려고 보니까 물질의 에너지 밴드갭이 너무 커서 전자가 넘어갈 수가 없었다.

넘어갈 수 없으면 전기에너지는 어떻게할까? 뒤에서는 다른 전자들이 빨리 지나가라고 밀고 있고 유전체와 금속의 경계면에서는 넘어가지못한 전자들이 쌓여서 이 전자들로 인해 전기장이 점점 세지고 있다. 유전체는 전자들을 통과시키지는 못하지만 이 또한 원자로 구성되어있는 물질이고 원자는 전자와 양성자로 이루어져있다. 전자는 원자안에서 궤도운동을 하고는 있지만 경계면의 전기장으로 인해 약간 짜그러진 궤도를 돌게 되고 (그래서 전기적으로는 중성인 상태를 유지한다) 이를 유전분극이라고 한다. 원자들이 유전분극으로 전기장을 조금씩 나눠서 상쇄해주고 있다. 유전체의 반대쪽에선 어떤일이 일어나고 있을까? 유전체가 만들어낸 유전분극이 전기장을 조금씩 상쇄해주기는 하지만 당연히 역부족이다. 남는 전기적 에너지는 전기장을 만들어 반대쪽 유전체의 계면에서 전자들을 밀어내 결과적으로는 전기적 중성이라는 우주의 평화를 이뤄내고만다. 이를 그림으로 표현하면 아래와 같다.

결국에는 소자를 통해 설명을 하게 되었는데... 소자를 빗대어 설명하는게 가장 명쾌하게 이해시킬 수 있어서 그렇다.
그럼 전기소자 커패시터가 아닌 자연에서 커패시턴스의 전기적 특성이 드러나는 두 가지 예를 생각해보자.
먼저 번개가 칠 때 전자의 움직임을 상상해보자.
하늘이 우중충하다. 차곡차곡 쌓인 적란운이 전기에너지를 잔뜩 축적하고 있다. 쌓여만 가던 전기에너지가 공기를 타고 땅에 내려 꽂힌다. 번개가 치는 것이다.

번개가 치는 상황에서는 공기층이 커패시터의 유전체 역할을 하게 된다. 그럼 그때 공기층에서는 무슨 일이 일어나는가? 유전분극이 일어나 극성 분자인 물분자들이 전기장에 따라 배열되게 되고 대기 중의 전자들이 전기장에 따라 가속하며 산소 분자 등은 이런 전자를 잡아먹고 음전하를 띄게 될 것이다. 구름과 대지면의 전위차가 너무 커지게 되어 공기분자들이 이온화가 되게 되면 전하를 전달할 수 있는 이온과 전자들이 구름 속의 전기에너지를 지면으로 전달하여 번개가 치게 된다.
현대사회에서 전자가 가장 많이 사용되는 반도체에서 전자의 움직임을 상상해보자.

삼성전자의 주요 공정 중 하나인 FinFET이 왜 미세공정에서 유리할 수 있는가? GAA구조는 왜 도입되게 되었을까?
이런 나노 단위의 반도체 소자들도 전기적 특성인 커패시턴스를 이해하게 되면 쉽게 납득할 수 있다.
FinFET이나 GAA나 기본적으로는 MOS FET의 변종이니 MOSFET의 구조와 작동원리를 생각해보자.


Metal Oxide Silicon 구조의 게이트가 있고 소스와 드레인은 게이트를 사이에 두고 떨어져 있다. MOS 구조는 커패시터의 구조와 동일하다. 게이트 전극(M)에 전압이 가해지면 유전체의 특성을 가지는 Siliocn Oxide(SiO2)는 유전분극이 일어나게 되고 내부에 생긴 전기장으로 전극으로 들어온 전류로 인한 전기장을 차단하려 한다. (따져보면 전기 안 통하고 유전분극이 일어나면 모두 유전체로 생각할 수 있다. 단지 유전특성이 좋은지 나쁜지 차이가 있을 뿐) Oxide 층의 임계 전압을 넘게 되면 전기장이 실리콘에 영향을 미치게 되는데 전기장으로 인해 실리콘과 Oxide 경계면에 전하가 모이게 되고 이게 전류 채널로써 작동하게 되면서 소스와 드레인 사이에 전류가 흐르게 되는 것이다. FinFET은 소스와 드레인 사이의 게이트가 상어의 지느러미처럼 솟아있는 구조를 가지는데, 소스와 드레인 사이 전류 채널이 면으로 만나게 되면서 전류 채널이 형성되었을 때 (게이트 전압을 늘리지 않아도) 더 많은 전류를 전달할 수 있으면서 전하를 더 많이 수용할 수 있기에 누설전류는 더 쉽게 차단할 수 있게 되었다.
결론은 소자를 통해서 이해하되 전자의 관점에서 전자기적 현상을 이해하려는 시각을 가지자는 것이다. 사실 커패시터라는 소자를 이해하는 것으로 커패시턴스를 이해하는데에 충분하다. 자연현상을 통해 설명하기는 너무 많은 요소들이 작용하기 때문에 커패시터를 빗대지 않고서는 이 현상을 명확하게 이해하기는 쉽지않다. 다만 이 전기적 현상이 어떤 과정을 통해 진행되는지를 상상해보자는 것이다. 소자와 물리공식에는 팩트는 있어도 이야기는 없다. 이야기가 있어야 상상할 수 있고 이야기가 있어야 대상을 이해할 수 있다고 생각한다.
※여기서부터는 개인적으로 나중에 보기 위한 생각들이다. 일기에 가까운 글이기 때문에 지식을 쌓는데 도움이 되지는 않을 것이다※
전기기사를 공부하면서 회로적에서의 커패시턴스와 도선에서의 커패시턴스 해석 방법 등을 공부하면서 커패시턴스가 단지 물리적인 소자로서만 생각하면 안 된다는 걸 알게 되었다. 커패시턴스는 자연에서 일어나는 전자기적 자연 현상이자 내재된 특성이고 전하를 띈 입자가 이동하면서 생길 수밖에 없는 현상이라는 관점을 가지게 되었다. 물론… 자격증을 이렇게 고민하면서 하게 되면 시험을 볼 수가 없다… 내년 3월에 다시 도전할 생각…

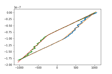
대기압 플라스마의 전류 전압 데이터를 분석하면서 방전시 커패시턴스에 대한 해석에 고민이 많았다. DBD구조의 전극에서 플라즈마의 발생을 회로적으로 해석할 수 있는데, 플라즈마 방전이 일어나면 공기는 이온화되고 유전체의 정전용량만이 남게되는데 문제는 일정해야 할 것 같은 정전용량이 방전시간이 오래됨에 따라서 변화하게 된다는 점이다. 이는 출판된 논문에서도 DBD에서 오래된 방전으로 인해 유전체 손상이 누적되면 정전용량이 변하게 된다고 나와있다. 이런 실험결과들을 해석하는 가장 심플한 방법은 유전체가 깍여나가서 그런거같다고 해석하는 것인데… 이게 유전체가 깍여서 d가 줄어드는 것이면 계속해서 정전용량이 늘어나야한다 . 근데 유전체가 일정하게 깍여나가는 것도 아니고 실제 플라즈마의 발생을 보면 손상이 일어난 곳에 방전이 집중되는 (빛이 강하게 발생하는) 모습을 보이는데 그럼 그러한 플라즈마의 발생특성도 영향을 받아야한다. 그리고 실험을 해보면 정전용량이 늘어나는 경향을 보이다가도 다시 줄어들기도 하고 왔다갔다 하는데 그런 피크들을 해석하기에도 쉽지 않았다. 그래서 데이터를 더 모아보고 커패시턴스가 무엇인지에 대해서 군생활 내내 고민을 해봤다. 찾아낸 답은 심플했다. 플라즈마 방전에 의해 유전체가 깍여나가고 손상을 받아서 정전용량이 변하게된다. 물리적으로 깍여나가기도 하고 화학적으로 산화되기도한다. 하지만 더 중요한 요소는 방전 영역이다. C = e A/d 라는 공식으로도 나타나있는데 이때 A를 그저 DBD의 면적으로만 생각했다. 하지만 플라즈마가 발생해서 가스갭 커패시턴스가 사라지게 되면, 공기전체영역이 전극이 되는것인가? 만약 그렇다면 우리는 번개가 칠때 모두 감전되서 죽을 것이다. Filamentary mode든 Diffused mode든지 유전체에 인가되는 전류와 그로인한 전기장은 특정 영역을 가지게 되지 전극영역 전체로 전달되지는 않을 것이다. 결론은 정전용량의 절대값이 아니라 플라즈마 방전특성과 함께 고려되어야 한다는 것이다. 방전이 잘 이뤄져서 방전영역이 늘어나게 되면 Cd는 커지게 된다. 표면이 깍여나가면서 d가 줄어들어도 Cd는 커지게 될 것이다. d가 줄어드는 건 굉장히 작은데 비해서 Cd의 변화가 큰 것은 방전영역이 늘어나서 그렇다고 봐도 무방할 것이다. 물론 이를 검증하는 건 더 많은 측정 데이터와 측정 데이터를 통해 계산되는 물리적 변수들 사이의 관계를 분석함으로 알게 될 것이지만 말이다.
| GAA(Gate-All-Around)를 만들기 위한 에칭방법 (1) | 2023.02.13 |
|---|---|
| 반도체공정에서 플라즈마를 왜 사용하는가? (0) | 2023.02.12 |
| Airy Disk는 광학기기의 해상도를 결정한다 (0) | 2020.12.11 |
| 왜 고압선을 사용해야 할까? (1) | 2020.11.27 |
| Divergence angle 에 대한 유도 (Young 의 이중슬릿을 곁들인) (0) | 2020.11.20 |