
뉴턴의 힘방정식으로는 복잡한 힘이 주어지는 이중진자를 풀 수 없다.
진자 하나밖에 없더라도 줄이 스프링인 경우, 뉴턴방정식으로 힘의 방정식을 쓰기가 어려워진다.
여러 방향으로 작용하는 복잡한 운동의 경우, 라그랑주역학을 이용할 수 있다.
수학과가 아니기에... 간단한 원리와 계산방법만을 보여줄 것이다.
(사실 나도 잘 모른다. 계산방법과 어디에 쓰는 것 정도만 알기에... 최소작용의 법칙과 관련된 것들을 보려면 Marion의 일반역학책을 참고하면 된다)
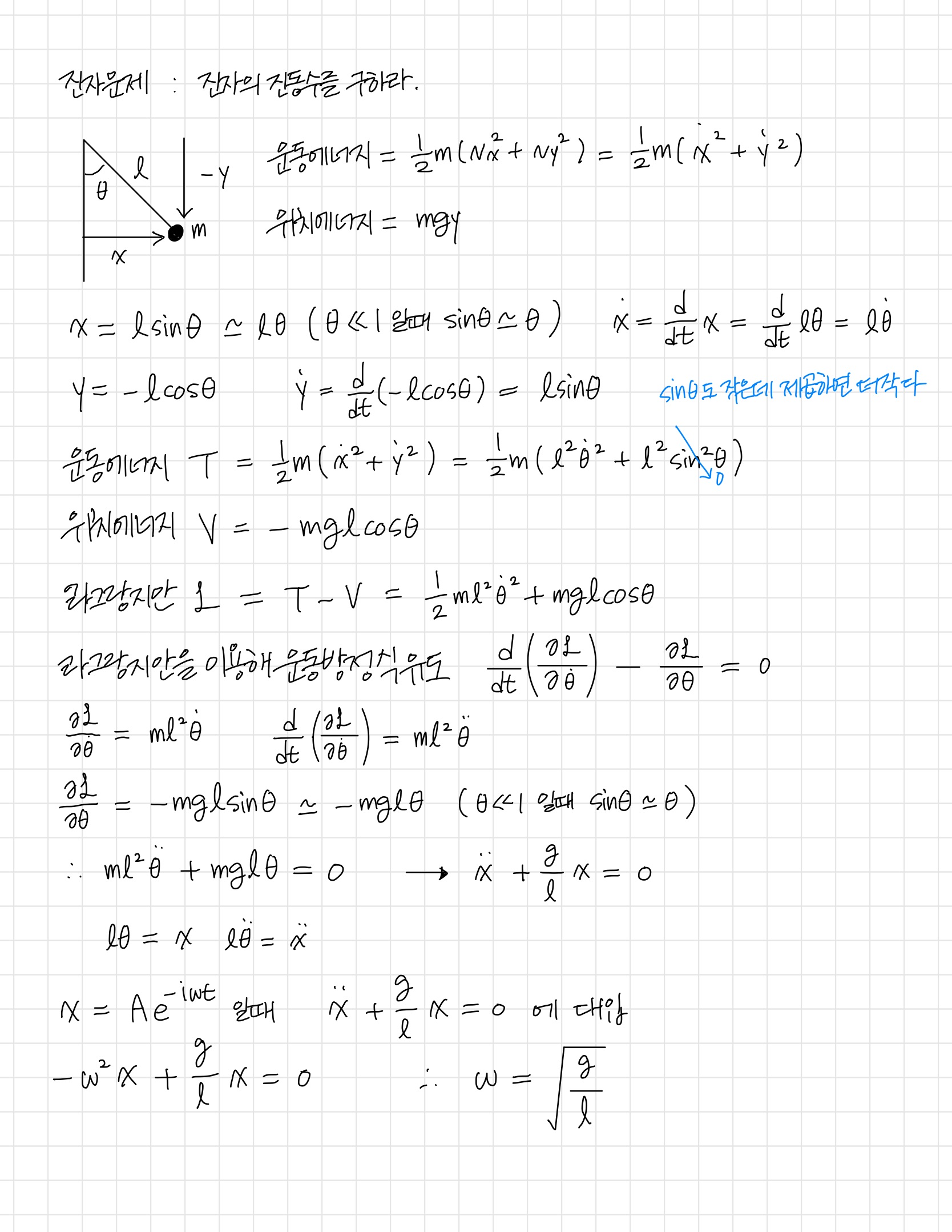
단진자운동은 워낙에 유명하기도 하고, 중력과 장력만이 작용하는 간단한 계이기 때문에, 뉴턴의 힘의 방정식으로 풀어도 충분하다.
예전에 포스팅했던 글도 힘의 방정식으로 유도했었다.
2020/09/14 - [기초 물리학] - 진동자에 주기에 관하여
진동자에 주기에 관하여
교재 : Vibrations and Waves (George C. King 저) 문제 1.8 You might assume that the period of a simple harmonic pendulum depends on the mass m, the length l of the string and g the accleration due to..
super-master.tistory.com
하지만 라그랑주를 이용한 운동방정식을 유도하는 것과 고유진동수를 유도하는 방법을 보여주기 위해
운동에너지와 위치에너지를 이용해 라그랑주 방정식으로 풀었다.
라그랑지안을 이용해 푸는 방법은 크게 3단계를 거친다.
1. 운동에너지와 위치에너지를 구한다
2. 라그랑지안을 구한다
3. 라그랑지안을 변수에 따라 미분하여 (이 경우엔 각도 쎄타가 변수이다) 운동방정식을 유도한다

운동방정식을 라그랑주를 이용해 얻은다음
단진자의 고유 진동수를 알기위해 일반해 e^-iωt를 대입해 풀었다.
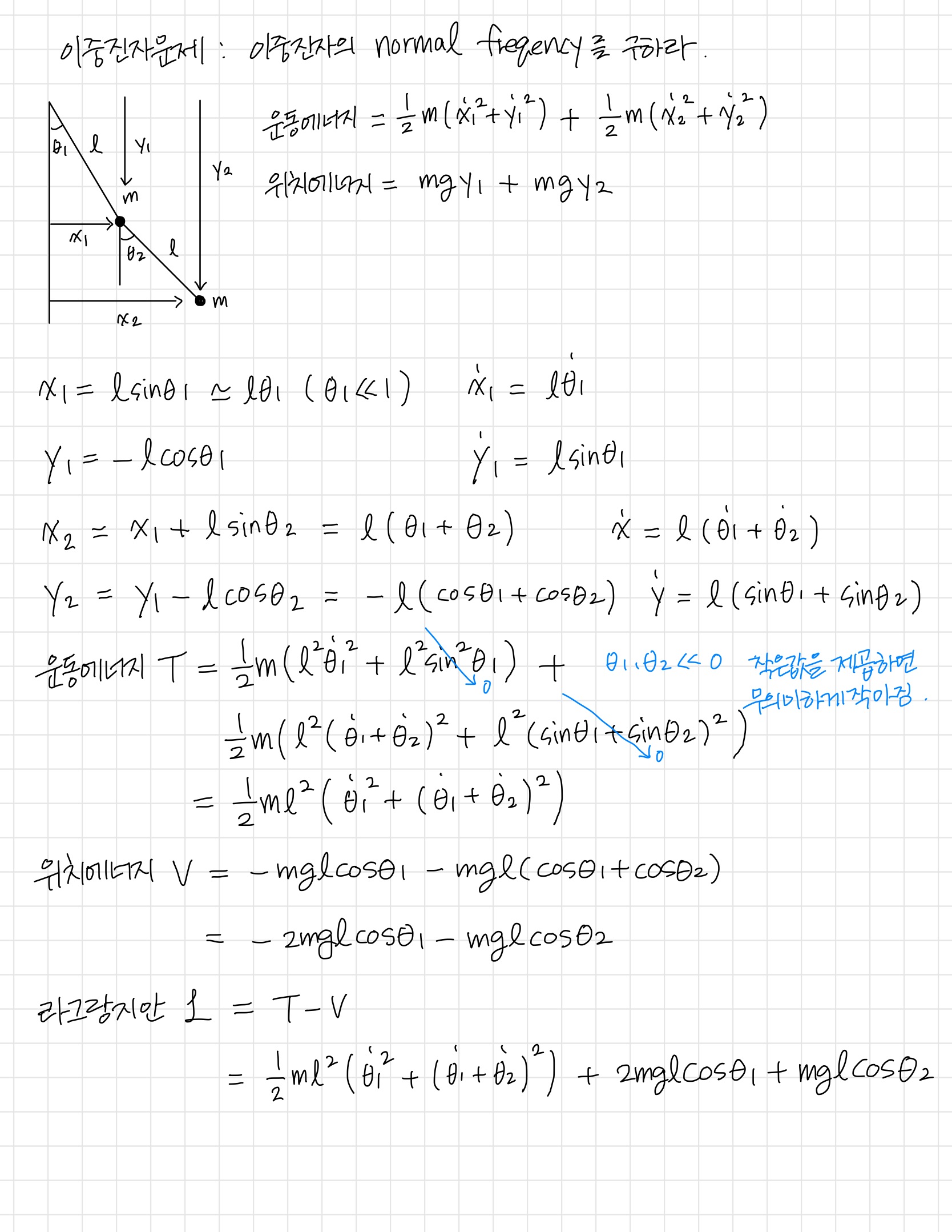
이제 이중진자를 풀건데 방법은 동일하다.
다만 좌표를 좀더 고려해야한다는 점이 다르다.
이중진자는 위에 있던 그림처럼 두 질점이 ‘무작위로 움직이는 것’ 처럼 보인다.
하지만 진폭이 작은경우 두 질점이 같은 진동수로 진동하는 normal freqency가 존재하며
이중진자의 진동수는 이 normal freqency의 선형결합으로 주어지게 된다.
(약간 양자역학의 접근 방법과 비슷하다)
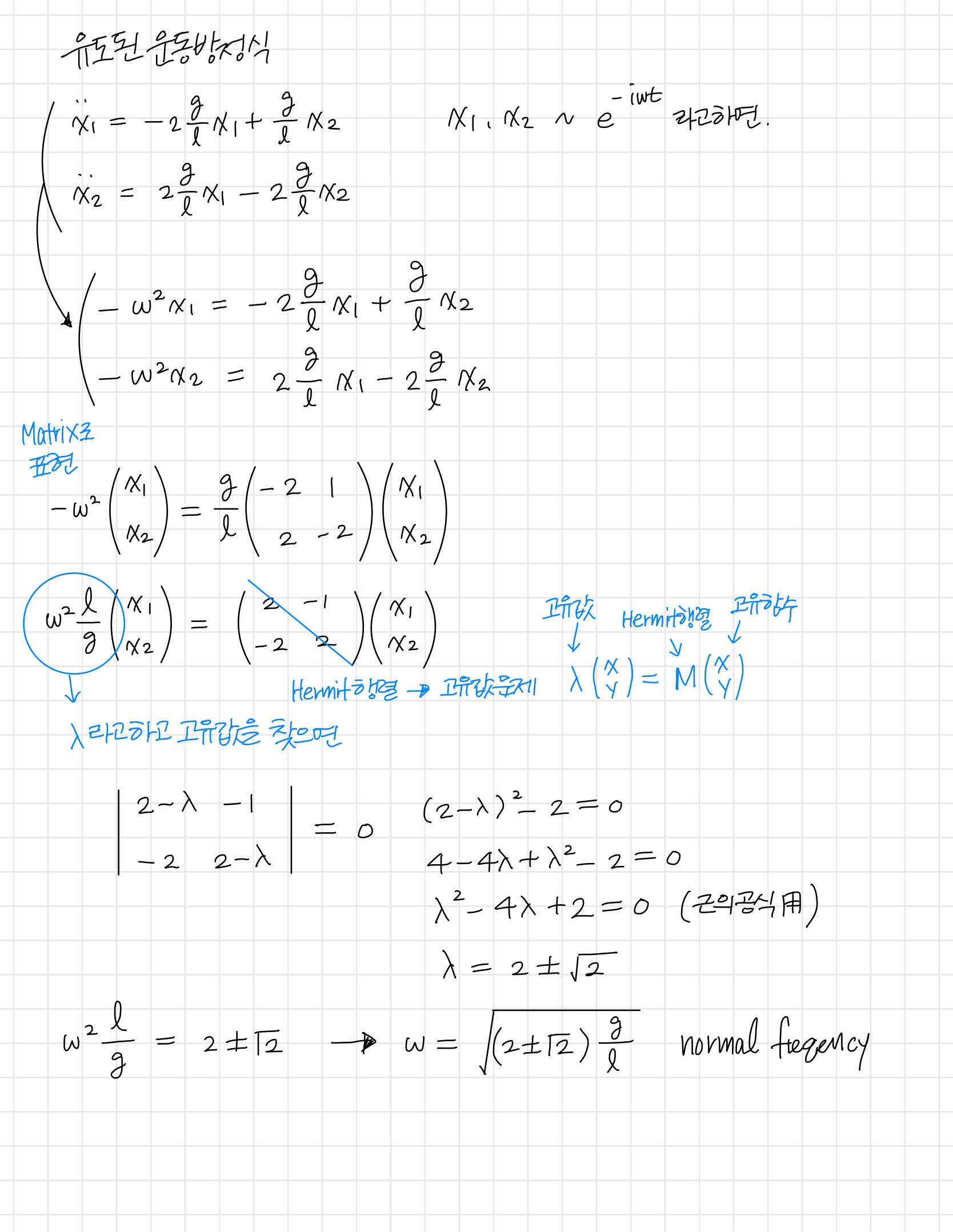
라그랑지안으로 운동방정식을 얻은 다음 normal freqeny를 계산할 것이다.




다시한번 강조하지만
normal freqency는 두개의 추가 같은 진동수로 진동하는 경우의 진동수이다.
그리고 실제 진자의 진동수, 예를 들면 두번째 추가 움직이는 진동수는 이 normal freqncy의 선형결합으로 주어진다.
x2(t) = cos(ω1t+ω2t)와 같은 식으로 말이다.
진자가 많아져도 이런식으로 라그랑주역학을 이용해 운동방정식을 유도할 수 있으며
행렬로 만들어 고윳값 문제로 풀 수 있다.
| [측정에 대하여] DC offset 은 무엇인가? 어떻게 제거하며, 왜 생기는걸까? (2) | 2020.11.06 |
|---|---|
| [측정에 대하여] 로고스키코일을 이용한 전류프로브 (0) | 2020.11.04 |
| [측정에 대하여] 내가 맞게 측정 한걸까..? : Probe 와 Oscillocsope (0) | 2020.10.18 |
| 커패시턴스와 인덕턴스는 항상 함께해 : BNC 케이블에서 커패시턴스와 인덕턴스 계산 (3) | 2020.10.03 |
| 스프링과 전자 : assume the electron as simple harmonic oscillation (5) | 2020.09.17 |